
柴胡皂苷D,20874-52-6,Saikosaponin D?!酒辗频隆繉I生產高純度中藥對照品,標準品,高端技術支持,精密儀器檢測,質量保障,提供定制研發服務,產品質量有問題支持無條件退換,歡

普菲德生物專業研發生產定制川楝素,58812-37-6,Toosendanin。中藥對照品標準品,現貨供應,質量保證,庫存品種高達二千余種,規格可按照要求定制,歡迎新老顧客前來訂購

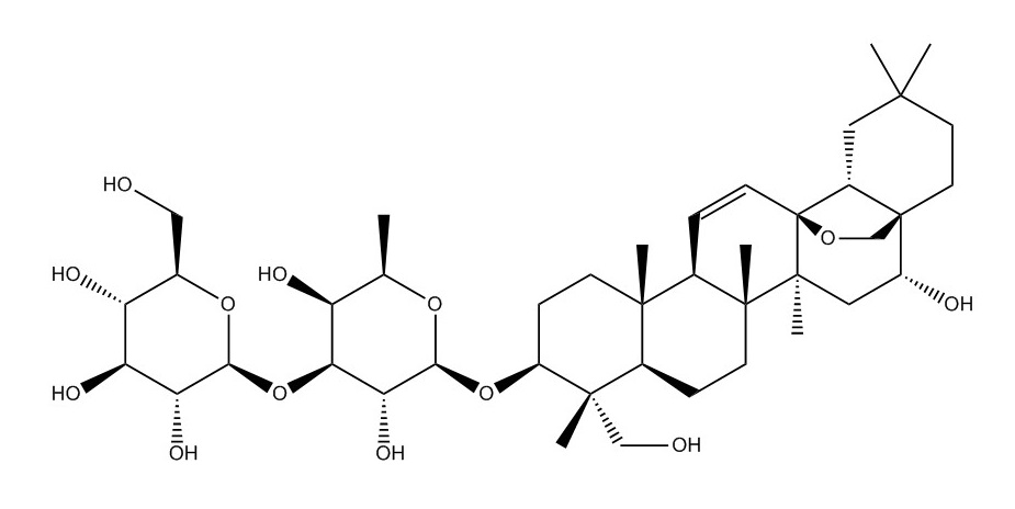
普菲德生物國內優質標準物質網,專業研發生產銷售醉魚草皂苷Ⅳ,139523-30-1,Buddlejasaponin IV。中藥對照品,標準品,品種齊全,質量保證,價格優惠,HPLC98%,歡迎新老顧客致電咨詢!

具棲冬青苷,42719-32-4,Pedunculoside?!酒辗频隆繉I生產高純度對照品,標準品,高端技術支持,精密儀器檢測,質量保障,提供定制研發服務,產品質量有問題支持無條件退換,歡迎新

甘草酸單銨鹽,53956-04-0,Monoammonium glycyrrhizinate。【普菲德】專業生產高純度中藥對照品,標準品,高端技術支持,精密儀器檢測,質量保障,提供定制研發服務,產品質量有問題支持無